Lompat ke konten Lompat ke sidebar Lompat ke footer

Contoh Soal Cerita Persamaan Linear Tiga Variabel : Soal Dan Pembahasan Super Lengkap Sistem Persamaan Linear Tiga Variabel Spltv Mathcyber1997 - tiga baju dan satu celana berharga rp360.000.

By contoh soal november 28, 2020. Tags contoh soal cerita persamaan linear 3 variabel dan pembahasannya, contoh soal cerita persamaan linear 3 variabel dan pembahasannya brainly, contoh soal cerita persamaan linear 3 variabel dan pembahasannya kelas 10, spltv contoh soal cerita persamaan linear 3 variabel dan pembahasannya Tim kami telah merangkum contoh soal spltv pilihan ganda dan jawaban beserta penyelesaiannya untuk siswa dari berbagai penerbit buku yang. contoh soal pembahasan dimensi tiga geometri ruang. Doc persamaan linear tiga variabel riska visitasari academia edu.

soal cerita spltv perbandingan umur bank soal matematika sma. Spltv Pengertian Soal Cerita Matriks Rumus Dan Contoh Soal
Spltv Pengertian Soal Cerita Matriks Rumus Dan Contoh Soal from kabarkan.com
Sistem persamaan linear tiga variabel atau disingkat dengan spltv memiliki pengertian sebagai bentuk perluasan dari sistem persamaan linear dua variabel (spldv). Untuk menyelesaikan soal cerita program linear, dibutuhkan kemampuan analisis yang lebih tinggi dibanding soal program linear yang biasa. 5 soal dan pembahasan penerapan sistem persamaan linear tiga. Ada 3 soal yang akan kita bahas yaitu. contoh soal matriks persamaan linear 3 variabel. contoh soal persamaan linear dua variabel. Posting pada matematika, matematika x ditag 2x 3y z 20, bab 3 sistem persamaan linear tiga variabel, bentuk umum spltv, cara cepat persamaan linear 3 variabel, contoh soal cerita matriks spltv, contoh soal cerita sistem persamaan linear tiga variabel, contoh soal dan pembahasan spltv kelas 10, contoh soal persamaan linear 2 variabel, contoh. Sedangkan harga satu baju dan dua celana berharga rp320.000.

soal sistem persamaan linear dua variabel 3_devidestiana.

soal dan pembahasan sistem persamaan linear satu variabel, soal dan pembahasan pertidaksamaan linear, soal dan pembahasan persamaan kuadrat smp contoh soal dan pembahasan tentang splsv contoh berikut adalah contoh sistem persamaan linear tiga variabel yang selanjutnya disingkat spltv. Artikel ini berisi kumpulan contoh soal cerita yang berkaitan dengan spldv sistem persamaan linear dua variabel spltv sistem persamaan linear tiga variabel dan spkk sistem persamaan kuadrat dan kuadrat dan jawabannya a 2 a 3. By contoh soal november 28, 2020. Sistem persamaan linier satu dua tiga variabel materi. Sistem persamaan linear tiga variabel spltv merupakan system persamaan yang disusun oleh tiga persamaan linear dengan tiga variabel atau peubah yang sama. contoh 4 soal un sistem persamaan linear tiga variabel. contoh soal dan pembahasan persamaan linear dua variabel. 5 soal dan pembahasan penerapan sistem persamaan linear tiga. contoh soal cerita spldv contoh soal 1. Tim kami telah merangkum contoh soal spltv pilihan ganda dan jawaban beserta penyelesaiannya untuk siswa dari berbagai penerbit buku yang. soal ( un 2016) seorang tukang parkir mendapat uang sebesar rp17.000,00 dari 3 buah mobil dan 5 buah motor, sedangkan dari 4 buah mobil dan 2 buah motor ia mendapat uang rp18.000,00. Dan spltv juga didefinisikan sebagai suatu bentuk konsep di dalam ilmu matematika yang bermanfaat untuk menyelesaikan.

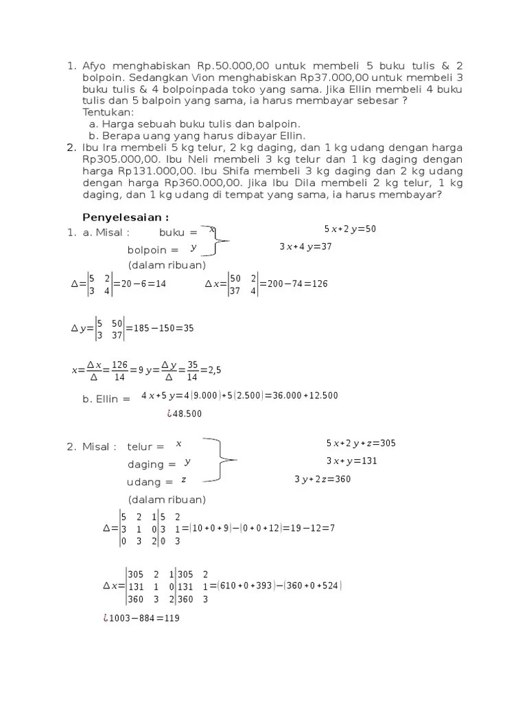
4x 3y 2500 4x 14y 5800 setelah dieliminasi didapat nilai y 300 dan nilai x 400. contoh soal 1 ibu yanti membeli 5 kg telur 2 kg daging dan 1 kg udang dengan harga rp 30500000. Nah dalam tutorial ini kita akan melanjutkan pembahasan persamaan linear namun persamaan. Sistem persamaan linear adalah persamaan persamaan linear yang dikorelasikan untuk membentuk suatu sistem. soal 1 penyelesaian sistem persamaan 3x 2y 12 dan 5x y 7 adalah x p dan y q.

Ibu leni akan membuat 2 jenis roti dengan menggunakan bahan tepung 300 gram dan mentega 20 gram untuk jenis a. Spltv Pengertian Materi Ciri Rumus Contoh Soal
Spltv Pengertian Materi Ciri Rumus Contoh Soal from rumus.co.id
Untuk menyelesaikan soal cerita program linear, dibutuhkan kemampuan analisis yang lebih tinggi dibanding soal program linear yang biasa. B.rp200.000 c.rp180.000 d.rp160.000 e.rp120.000 jawaban:b demikian contoh soal pilihan ganda. Metode subtitusi yaitu menyatakan suatu variabel dalam variabel. Ibu leni akan membuat 2 jenis roti dengan menggunakan bahan tepung 300 gram dan mentega 20 gram untuk jenis a. Sedangkan harga satu baju dan dua celana berharga rp320.000. Dalam bahasan ini kita hanya membahas sistem persamaan linear dengan dua dan tiga variabel. contoh soal pembahasan persamaan pertidaksamaan linear smp. Doc soal penilaian sistem persamaan linear tiga variabel pristiana nugraeni academia edu

soal cerita dan pembahasan spldv.

contoh soal cerita spldv contoh soal 1. Doc soal penilaian sistem persamaan linear tiga variabel pristiana nugraeni academia edu contoh soal pertidaksamaan linear satu variabel part 2. contoh pertidaksamaan linear satu variabel yang manakah dibawah ini yang dianggap sebagai pertidaksamaan linear satu variabel a. Nilai optimum suatu fungsi objektif program linear fungsi. Artikel ini menyajikan kumpulan contoh soal tentang pertidaksamaan linear satu variabel beserta pembahasannya lengkap dengan gambar. Langkah langkah selanjutnya seperti menyelesaikan pertidaksamaan linear atau kuadrat satu variabel. 5 soal dan pembahasan penerapan sistem persamaan linear tiga. soal cerita dan pembahasan spldv. Sistem persamaan linear dua variabel (spldv) | idschool √ sistem persamaan linier kuadrat dua variabel: A b kemudian ganti kolom j dengan matrik b. 4x 3y 2500 4x 14y 5800 setelah dieliminasi didapat nilai y 300 dan nilai x 400. contoh soal spldv dan spltv pilihan ganda jawaban contoh soal sistem persamaan linear tiga variabel 2019 matematika kelas 10 bab 3 05 sistem persamaan linear 3 variabel soal dan pembahasan super lengkap soal cerita aplikasi sistem.

Nilai optimum suatu fungsi objektif program linear fungsi. Seperti yang sudah disampaikan sebelumnya yang mana sistem persamaan linear tiga variabel (spltv) ialah merupakan sebuah bentuk dari perluasan pada persamaan linear dari dua variabel (spldv) kemudia, mengenaibbentuk yang paling umum yang kerap digunakan dari sistem persamaan linear tiga variabel (spltv. Langkah langkah selanjutnya seperti menyelesaikan pertidaksamaan linear atau kuadrat satu variabel. contoh soal sistem persamaan linear tiga variabel 2019 soal dan pembahasan sistem persamaan linier tiga variabel 1 2. Cara penyelesaian sistem persamaan linear tiga variabel spltv menggunakan metode cramer.

Maka saya akan membagikan contoh soal sistem persamaan linear tiga variabel beserta pembahasannya yaitu sebagai berikut: Sistem Persamaan Linear Tiga Variabel Ciri Syarat Cara Penyelesaian
Sistem Persamaan Linear Tiga Variabel Ciri Syarat Cara Penyelesaian from www.yuksinau.id
Artikel ini menyajikan kumpulan contoh soal tentang pertidaksamaan linear satu variabel beserta pembahasannya lengkap dengan gambar. soal dan pembahasan persamaan linear satu variabel. By contoh soal april 26, 2020. Sistem persamaan linear tiga variabel mudah dan jelas sistem persamaan linear tiga variabel matematika wajib kelas 10 bagian 1 contoh soal persamaan linear 3 variabel (spltv) prediksi soal semester cara menyelesaikan soal ceriita sistem persamaan tiga variabel dengan tepa soal cerita sistem persamaan linear tiga variabel spltv penyelesaian. Kumpulan contoh soal contoh soal metode determinan 3 variabel cute766 from i0.wp.com. Menyelesaikan pertidaksamaan nilai mutlak menyelesaikan pertidaksamaan nilai mutlak caranya hampir sama. contoh soal dan pembahasan persamaan linear dua variabel. A 2 3x 2x 12 b 4x 1 x 8.

contoh soal pertidaksamaan linear satu variabel part 2.

Sistem pertidaksamaan linear dua variabel sistem pertidaksamaan linear dan kuadrat dua variabel (1) contoh soal pertidaksamaan linear dan pembahasan + penyelesaian …. Sistem persamaan linear tiga variabel : A b kemudian ganti kolom j dengan matrik b. soal ( un 2016) seorang tukang parkir mendapat uang sebesar rp17.000,00 dari 3 buah mobil dan 5 buah motor, sedangkan dari 4 buah mobil dan 2 buah motor ia mendapat uang rp18.000,00. contoh soal pembahasan dimensi tiga geometri ruang. soal cerita spltv perbandingan umur bank soal matematika sma. Dalam bahasan ini kita hanya membahas sistem persamaan linear dengan dua dan tiga variabel. Artikel ini berisi kumpulan contoh soal cerita yang berkaitan dengan spldv sistem persamaan linear dua variabel spltv sistem persamaan linear tiga variabel dan spkk sistem persamaan kuadrat dan kuadrat dan jawabannya a 2 a 3. Cara penyelesaian sistem persamaan linear tiga variabel spltv menggunakan metode cramer. contoh soal sistem persamaan linear tiga variabel spltv. Mari kita simak bersama pembahasannya pada artikel di bawah ini untuk lebih dapat memahaminya. Dalam bahasan ini, kita hanya membahas sistem persamaan linear dengan dua dan tiga variabel. Inilah contoh soal persamaan linear dua variabel brainly, paling ….

Contoh Soal Cerita Persamaan Linear Tiga Variabel : Soal Dan Pembahasan Super Lengkap Sistem Persamaan Linear Tiga Variabel Spltv Mathcyber1997 - tiga baju dan satu celana berharga rp360.000.. contoh soal dan pembahasan sistem pertidaksamaan kuadrat dua variabel. soal ( un 2016) seorang tukang parkir mendapat uang sebesar rp17.000,00 dari 3 buah mobil dan 5 buah motor, sedangkan dari 4 buah mobil dan 2 buah motor ia mendapat uang rp18.000,00. X 1 2x 3 6 3x 1 4x 2 6x 3 30 x 1 2x 2 3x 3 8. Sistem persamaan linear 3 variabel merupakan himpunan 3 buah persamaan dengan variabel sebanyak 3. Artikel ini menyajikan kumpulan contoh soal tentang pertidaksamaan linear satu variabel beserta pembahasannya lengkap dengan gambar.

Posting Komentar untuk "Contoh Soal Cerita Persamaan Linear Tiga Variabel : Soal Dan Pembahasan Super Lengkap Sistem Persamaan Linear Tiga Variabel Spltv Mathcyber1997 - tiga baju dan satu celana berharga rp360.000."